Vous avez un projet à gérer, mais vous ne savez pas quelle méthode de gestion de projet utiliser ?
Vous vous sentez peut-être perdu face à toutes les options qui s’offrent à vous. Agile, Scrum, Kanban, méthode en cascade… Chaque méthode a ses avantages, mais laquelle correspond vraiment à votre situation ?
Dans cet article, on va vous aider à trouver la méthode la plus adaptée à votre projet. Vous allez découvrir :
- Les principales méthodes de gestion de projet et leurs spécificités
- Comment identifier celle qui correspond le mieux à votre contexte
- Les critères essentiels pour faire le bon choix
Téléchargez le Kit de la Gestion de Projet

Avant de commencer, téléchargez gratuitement votre Kit de Gestion de Projet. Ce Kit inclut un guide d’une dizaine de pages pour vous aider à gérer vos projets et un diagramme de Gantt pour gagner en clarté.
Qu’est-ce qu’une méthode de gestion de projet ?
Une méthode de gestion de projet regroupe un ensemble de pratiques, d’outils et de techniques qui vous permettent d’organiser votre travail de manière structurée.
Elle vous aide à :
- Planifier vos actions et définir les étapes clés
- Organiser vos ressources (équipe, budget, temps)
- Exécuter les tâches de manière cohérente
- Contrôler l’avancement et ajuster si nécessaire
L’objectif étant d’atteindre vos résultats dans les délais impartis, sans dépasser votre budget ni épuiser vos ressources.
Quelles sont les méthodes de gestion de projet traditionnelles ?
Les méthodes traditionnelles suivent une approche linéaire et séquentielle. On les appelle aussi méthodes « en cascade » ou « Waterfall » en anglais.
Avec ces approches, chaque phase du projet s’enchaîne l’une après l’autre. Vous ne passez à l’étape suivante que lorsque la précédente est entièrement terminée et validée.
Voici les méthodes que l’on retrouve dans cette catégorie.
La méthode Waterfall (méthode en cascade)
Cette méthode repose sur une planification détaillée en amont. Vous devez définir un cahier des charges complet dès le départ, qui guidera l’ensemble du projet jusqu’à la livraison finale.
Apparue dans les années 1970, la méthode Waterfall convient particulièrement aux projets dont les exigences sont stables et bien définies. Elle est notamment utilisée dans la construction, le développement hardware ou les projets industriels.
Les étapes de la méthode Waterfall
La méthode Waterfall se décompose en plusieurs phases successives :
- Recueil des exigences : vous analysez et documentez tous les besoins du projet
- Conception : vous élaborez l’architecture et les spécifications techniques détaillées
- Planification : vous établissez le calendrier, le budget et les ressources nécessaires
- Mise en œuvre : vous développez et réalisez le projet selon les plans établis
- Vérification et tests : vous contrôlez que le livrable respecte les spécifications
- Mise en service et maintenance : vous déployez le projet et assurez son suivi
Les avantages de la méthode Waterfall
- Une structure claire avec des jalons précis qui facilitent le suivi de l’avancement
- Une documentation complète utile pour les audits et la traçabilité
- Une progression facilement mesurable grâce aux phases bien définies
- Un cadre rassurant pour les équipes peu expérimentées
- Une conformité simplifiée pour les projets soumis à des réglementations strictes
Les inconvénients de la méthode Waterfall
- Une rigidité face aux changements : modifier une exigence implique de revenir en arrière, ce qui coûte du temps et de l’argent
- Une faible implication du client pendant le développement, avec un risque de déception à la livraison
- Des risques élevés si les besoins initiaux sont mal définis ou incomplets
- Un délai long avant de voir le premier résultat concret
Quand utiliser la méthode Waterfall ?
La méthode Waterfall est adaptée lorsque :
- Les besoins sont fixes, clairs et ne changeront pas en cours de projet
- Le projet nécessite une documentation exhaustive pour des raisons légales ou réglementaires
- Vous travaillez dans des secteurs comme la construction, l’aéronautique ou le médical où les normes sont strictes
- Les technologies utilisées sont éprouvées et stables
- Le client préfère avoir une vision globale et un budget fixe dès le départ
En revanche, évitez cette méthode si votre projet est innovant, si les besoins peuvent évoluer, ou si vous devez livrer rapidement des résultats intermédiaires.
La méthode cycle en V
La méthode du cycle en V organise le projet en deux phases symétriques : une phase descendante dédiée à la conception et au développement, puis une phase ascendante consacrée aux tests et à la validation.

Apparue dans les années 1980, cette méthode est particulièrement adaptée aux projets techniques comme le développement logiciel ou industriel, où les exigences sont stables et clairement définies dès le départ.
Les étapes du cycle en V
Le cycle en V se décompose en trois parties distinctes :
Phase descendante (côté gauche du V) :
- Analyse des besoins : vous identifiez les attentes du client et les objectifs du projet
- Spécifications fonctionnelles : vous décrivez ce que le système doit faire
- Spécifications techniques : vous déterminez comment le système sera réalisé
- Conception générale : vous définissez l’architecture globale du projet
- Conception détaillée : vous précisez chaque composant et leur interaction
- Codage et développement : vous développez le système selon les spécifications
Pointe du V : La mise en œuvre du système marque le passage de la phase descendante à la phase ascendante.
Phase ascendante (côté droit du V) :
- Tests unitaires : vous vérifiez que chaque composant fonctionne individuellement (correspondent à la conception détaillée)
- Tests d’intégration : vous testez l’interaction entre les différents modules (correspondent à la conception générale)
- Tests système : vous validez que le système répond aux spécifications techniques
- Tests d’acceptation : vous confirmez avec le client que le produit répond aux besoins initiaux
Les avantages du cycle en V
- Une structure claire qui facilite le suivi de l’avancement du projet
- Une traçabilité optimale entre chaque phase de conception et son test correspondant
- Une validation précoce des exigences grâce à la définition des tests dès la phase de conception
- Une documentation complète utile pour les audits, la maintenance et l’intégration de nouveaux membres
- Un cadre structurant pour les équipes peu expérimentées en gestion de projet
- Une détection facilitée des erreurs à chaque niveau de validation
Les inconvénients du cycle en V
- Une rigidité importante face aux changements : modifier une exigence tard dans le projet nécessite de remonter le V, ce qui génère des coûts et des délais supplémentaires
- Des délais longs avant d’obtenir un système fonctionnel, car les tests interviennent seulement en fin de projet
- Une visibilité limitée pour le client pendant le développement
- Une inadaptation aux projets innovants où les besoins peuvent évoluer
- Un risque élevé si les spécifications initiales sont incomplètes ou erronées
Quand utiliser le cycle en V ?
Le cycle en V est recommandé dans les situations suivantes :
- Votre projet comporte des exigences fixes et clairement définies dès le départ
- Vous travaillez dans un secteur réglementé nécessitant une traçabilité complète (aéronautique, médical, défense)
- Vous développez des systèmes critiques où la fiabilité est primordiale
- Votre projet nécessite une documentation exhaustive pour des certifications ou des audits
- Vous réalisez des logiciels embarqués ou des systèmes industriels complexes
- Les technologies utilisées sont éprouvées et stables
Évitez cette méthode si votre projet requiert de la flexibilité, si les besoins peuvent évoluer en cours de route, ou si vous devez livrer rapidement des versions intermédiaires pour recueillir les retours utilisateurs.
La méthode PERT

La méthode PERT (Program Evaluation and Review Technique) a été développée dans les années 1950 par l’US Navy pour coordonner le projet Polaris, un programme de missiles balistiques impliquant des milliers de sous-traitants.
Cette méthode excelle dans les projets complexes et incertains, notamment dans l’industrie, la R&D ou les grands programmes de défense. Son approche est intéressante, car elle consiste à estimer les durées en tenant compte de l’incertitude, en calculant trois scénarios différents pour obtenir une durée espérée réaliste.
Les étapes de la méthode PERT
1. Identifier les tâches et leurs dépendances
Vous listez toutes les tâches nécessaires à la réalisation du projet et vous déterminez leurs relations logiques : quelles tâches doivent être terminées avant qu’une autre puisse commencer.
2. Estimer les durées avec trois scénarios
Pour chaque tâche, vous estimez trois durées possibles :
- Optimiste (O) : le temps minimum si tout se passe parfaitement
- Probable (M) : le temps le plus réaliste dans des conditions normales
- Pessimiste (P) : le temps maximum si tout va de travers
Vous calculez ensuite la durée espérée avec la formule :
Durée espérée = (O + 4M + P) / 6
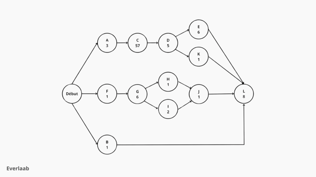
3. Construire le diagramme PERT
Vous créez un diagramme en réseau où :
- Les nœuds représentent les événements ou jalons du projet
- Les flèches représentent les tâches et leurs dépendances
- Chaque flèche indique la durée estimée de la tâche
4. Identifier le chemin critique
Vous calculez :
- Les temps au plus tôt : quand chaque tâche peut commencer au plus tôt
- Les temps au plus tard : quand chaque tâche doit commencer au plus tard pour ne pas retarder le projet
- Les marges : le temps de flexibilité disponible pour chaque tâche
Lire aussi : Le guide complet du chemin critique
Les avantages de la méthode PERT
- Une visualisation claire des dépendances entre les tâches et de la structure du projet
- Une identification précise du chemin critique pour prioriser les efforts
- Une gestion réaliste des incertitudes grâce aux estimations probabilistes
- Une optimisation de l’allocation des ressources en fonction des marges disponibles
- Une anticipation des risques de retard et des points de tension
- Une meilleure coordination entre les différentes équipes et parties prenantes
Les inconvénients de la méthode PERT
- Une complexité élevée pour les grands projets avec des centaines de tâches, ce qui rend le diagramme difficile à créer et à maintenir
- Des estimations subjectives qui peuvent être biaisées selon l’expérience ou l’optimisme de l’équipe
- Un investissement initial important en temps pour construire le diagramme
- Une adaptation difficile aux changements fréquents sans combiner avec des approches agiles
- Un risque de se concentrer uniquement sur le temps au détriment d’autres aspects comme la qualité ou les coûts
Quand utiliser la méthode PERT ?
La méthode PERT est recommandée dans les situations suivantes :
- Votre projet comporte de nombreuses tâches interdépendantes et complexes
- Vous faites face à une forte incertitude sur les durées d’exécution
- Vous gérez des programmes industriels de grande envergure avec de multiples sous-traitants
- Vous travaillez dans la recherche et développement où les délais sont difficiles à prévoir
- Vous pilotez des projets de défense, aéronautique ou spatial nécessitant une coordination précise
- La planification du temps est critique pour le succès du projet
- Vous avez besoin d’identifier les tâches prioritaires pour allouer vos ressources
Évitez PERT si votre projet est simple avec peu de tâches, si les besoins changent fréquemment, ou si vous manquez de temps pour construire et maintenir le diagramme. Dans ces cas, des méthodes plus légères ou agiles seront plus adaptées.
La méthode PRINCE2
PRINCE2 (PRojects IN Controlled Environments) a été développée au Royaume-Uni dans les années 1990 pour répondre aux besoins de gestion de projets dans le secteur public. Depuis, elle s’est imposée comme une référence dans de nombreux secteurs, aussi bien publics que privés.
Cette méthode structure le projet en étapes gérables, avec des rôles clairement définis, une justification commerciale maintenue tout au long du cycle de vie, et une gestion par exception qui permet aux dirigeants de se concentrer sur les décisions stratégiques.
Les étapes de PRINCE2
PRINCE2 s’articule autour de sept processus principaux qui s’appliquent de manière itérative :
- 1. Élaboration du projet : Vous préparez les fondations du projet avant son lancement officiel. Cette phase permet de vérifier que le projet mérite d’être initié.
- 2. Direction du projet : Le comité de pilotage prend les décisions stratégiques et autorise le passage d’une étape à l’autre. Ce processus couvre l’ensemble du projet.
- 3. Initiation du projet : Vous établissez les bases solides du projet : objectifs, organisation, plan détaillé, analyse de rentabilité et documentation des risques.
- 4. Contrôle d’une séquence : Le chef de projet pilote au quotidien l’avancement, assigne les tâches, surveille la progression et gère les problèmes qui surviennent.
- 5. Gestion des limites de séquence : Vous préparez la transition vers l’étape suivante en faisant un bilan de l’étape actuelle et en planifiant la prochaine. Le comité de pilotage valide ou non la poursuite.
- 6. Gestion de la livraison des produits : Les équipes réalisent les livrables selon les spécifications et les standards de qualité définis.
- 7. Clôture du projet : Vous finalisez le projet de manière formelle : vous livrez les produits finaux, évaluez les résultats, documentez les leçons apprises et dissolvez l’équipe projet.
La structure organisationnelle
PRINCE2 définit des rôles précis :
- Le comité de pilotage : prend les décisions stratégiques et valide les étapes
- Le chef de projet : coordonne au quotidien et rend compte au comité
- Le chef d’équipe : supervise la réalisation des livrables
- Les membres de l’équipe : produisent les livrables
- L’assurance projet : vérifie la conformité et la qualité
Les avantages de PRINCE2
- Un cadre flexible et évolutif qui s’adapte à différentes tailles et types de projets
- Des rôles et responsabilités clairement définis qui réduisent les ambiguïtés et les conflits
- Une documentation structurée utile pour les audits et la traçabilité
- Un focus constant sur la justification commerciale du projet
- Une gestion rigoureuse de la qualité et des risques tout au long du cycle
- Une approche par étapes qui facilite le contrôle et la prise de décision
- Une certification reconnue internationalement, particulièrement en Europe
Les inconvénients de PRINCE2
- Un cadre qui peut sembler bureaucratique et lourd pour les petits projets simples
- Une documentation importante qui demande du temps et des ressources
- Une courbe d’apprentissage importante pour les équipes non formées
- Une certification coûteuse pour maîtriser pleinement la méthode
- Une moindre agilité face aux changements imprévus comparée aux méthodes agiles
- Un risque de rigidité si la méthode n’est pas adaptée au contexte spécifique
Quand utiliser PRINCE2 ?
PRINCE2 est particulièrement adaptée dans les situations suivantes :
- Vous gérez des projets complexes avec de nombreuses parties prenantes
- Votre organisation nécessite un contrôle rigoureux et une gouvernance forte
- Vous travaillez dans l’administration publique ou des secteurs réglementés
- Votre projet requiert une documentation exhaustive pour des raisons légales ou d’audit
- Vous évoluez dans les secteurs IT, construction, finance ou services où PRINCE2 est une référence
- Vous opérez en Europe où la certification PRINCE2 est largement reconnue
- Votre projet présente des risques élevés qui nécessitent un suivi rigoureux
PRINCE2 peut être moins pertinente pour les petits projets simples, les startups qui privilégient la rapidité, ou les environnements très innovants où les besoins évoluent constamment. Dans ces cas, des méthodes plus légères ou agiles seront préférables.
Téléchargez le Kit de la Gestion de Projet

Avant de commencer, téléchargez gratuitement votre Kit de Gestion de Projet. Ce Kit inclut un guide d’une dizaine de pages pour vous aider à gérer vos projets et un diagramme de Gantt pour gagner en clarté.
Quelles sont les méthodes de gestion de projet agile ?
Les méthodes agiles représentent une approche radicalement différente des méthodes traditionnelles. Plutôt que de tout planifier en amont, elles privilégient l’adaptabilité et la réactivité face aux changements. Elles reposent sur une approche itérative et incrémentale qui consiste à découper vos projet en cycles courts (appelés itérations ou sprints) qui produisent chacun un livrable fonctionnel. À la fin de chaque cycle, vous recueillez les retours, vous ajustez vos priorités et vous repartez pour une nouvelle itération.
Voici les méthodes que l’on retrouve dans cette catégorie.
La méthode Kanban

Kanban est une méthode agile née dans l’industrie automobile japonaise chez Toyota dans les années 1940. Adaptée à la gestion de projet dans les années 2000, elle se distingue par sa simplicité et sa flexibilité.
Contrairement à Scrum qui fonctionne par sprints, Kanban repose sur un flux continu « tiré » par la demande. Vous traitez les tâches au fur et à mesure qu’elles arrivent, sans cycles fixes. Cette approche convient particulièrement aux activités récurrentes et aux flux de travail imprévisibles.
Les étapes de Kanban
1. Visualiser le flux avec un tableau Kanban
Vous créez un tableau divisé en colonnes qui représentent les étapes de votre processus. Les colonnes typiques sont : « À faire », « En cours », « En revue », « Terminé ». Chaque tâche est représentée par une carte que vous déplacez de gauche à droite au fil de sa progression.
Ce tableau peut être physique (un mur avec des post-it) ou numérique (via des outils comme Trello ou Jira).
2. Limiter le travail en cours (WIP)
Vous fixez un nombre maximum de tâches autorisées dans chaque colonne. Par exemple, vous limitez à 3 tâches simultanées dans la colonne « En cours ». Cette limite force l’équipe à terminer les tâches en cours avant d’en commencer de nouvelles, ce qui évite la dispersion et améliore la productivité.
3. Gérer et mesurer le flux
Vous suivez deux indicateurs clés :
- Le lead time : temps total entre la demande et la livraison
- Le cycle time : temps de traitement effectif de la tâche
Lors de stand-ups quotidiens rapides, vous identifiez les blocages et cherchez des solutions pour fluidifier le flux.
4. Améliorer en continu
Vous organisez des rétrospectives régulières pour analyser vos métriques, identifier les goulots d’étranglement et mettre en place des améliorations. L’objectif est d’optimiser progressivement votre processus.
Les avantages de Kanban
- Une flexibilité maximale sans bouleverser l’organisation existante
- Une mise en place rapide et non disruptive
- Une réduction des gaspillages et des goulots d’étranglement grâce à la visualisation
- Une amélioration continue visible et mesurable
- Une adaptation facile aux changements de priorités
- Une réduction du stress lié à la surcharge de travail
- Un cycle de feedback court pour réagir rapidement aux problèmes
Les inconvénients de Kanban
- Un risque de manque de priorisation sans discipline rigoureuse
- Une structure moins claire pour les projets avec une date de fin précise
- Une dépendance forte à la maturité et l’autodiscipline de l’équipe
- Un risque de chaos si les limites de WIP ne sont pas respectées
- Une difficulté à planifier sur le long terme
- Un manque de cadence rythmée qui peut démotiver certaines équipes
Quand utiliser Kanban ?
Kanban est particulièrement adaptée dans les situations suivantes :
- Vous gérez des flux de travail continus et imprévisibles
- Votre activité repose sur des demandes récurrentes sans cycles fixes (support IT, maintenance, helpdesk)
- Vous travaillez dans le marketing, les opérations RH ou les services clients
- Vous gérez une production à la demande où la fluidité prime sur les deadlines fixes
- Votre équipe est mature et capable de s’auto-organiser
- Vous souhaitez améliorer un processus existant sans tout chambouler
- Les priorités changent fréquemment et vous devez vous adapter rapidement
Kanban est moins adaptée pour les projets avec une date de livraison fixe et un périmètre défini, ou pour les équipes débutantes qui ont besoin d’un cadre plus structurant. Dans ces cas, Scrum ou d’autres méthodes offriront un meilleur encadrement.
La méthode Lean

La méthode Lean trouve son origine dans le système de production de Toyota développé après la Seconde Guerre mondiale. Popularisée dans les années 1990, elle s’est étendue bien au-delà de l’industrie automobile pour s’appliquer aux services, au développement logiciel et à de nombreux autres secteurs.
L’objectif du Lean est de maximiser la valeur pour le client tout en minimisant les gaspillages. Chaque action, chaque processus doit apporter de la valeur. Tout ce qui n’en apporte pas est considéré comme un gaspillage à éliminer.
Les étapes de la méthode Lean
1. Identifier la valeur
Vous commencez par définir précisément ce que votre client considère comme de la valeur. Qu’est-ce qui compte vraiment pour lui ? Pour quoi est-il prêt à payer ? Cette étape nécessite d’écouter attentivement vos clients et de distinguer leurs besoins réels de vos suppositions.
2. Cartographier le flux de valeur
Vous visualisez l’ensemble des étapes de votre processus, du début à la fin. Pour chaque étape, vous identifiez si elle crée de la valeur, si elle est nécessaire sans créer de valeur (étapes de support), ou si elle représente un pur gaspillage. Vous utilisez des outils comme la Value Stream Mapping pour cette analyse.
3. Créer un flux continu
Vous réorganisez vos processus pour éliminer les interruptions, les temps d’attente et les gaspillages identifiés. L’objectif est que le travail s’écoule de manière fluide d’une étape à l’autre, sans blocage ni accumulation.
4. Instaurer un système pull
Vous passez d’une logique de production « push » (on produit selon des prévisions) à une logique « pull » (on produit uniquement sur demande). Le système Kanban illustre parfaitement ce principe : vous ne démarrez une nouvelle tâche que lorsqu’il y a de la capacité disponible en aval.
5. Poursuivre la perfection
Vous instaurez une culture d’amélioration continue avec le cycle PDCA (Plan-Do-Check-Act) :
- Plan : vous identifiez un problème et planifiez une solution
- Do : vous testez la solution à petite échelle
- Check : vous mesurez les résultats
- Act : vous déployez la solution si elle fonctionne, ou vous ajustez
Vous utilisez également des outils complémentaires comme :
- Les 5S : trier, ranger, nettoyer, standardiser, maintenir l’ordre
- Le système Andon : alertes visuelles pour signaler les problèmes immédiatement
- Les cercles de qualité : réunions régulières pour résoudre les problèmes
- Le Gemba : aller observer directement sur le terrain
Les avantages du Lean
- Une réduction drastique des coûts en éliminant 30 à 50% des gaspillages
- Un gain de productivité important grâce à l’optimisation des flux
- Une amélioration de la qualité par la réduction des défauts
- Une motivation accrue des équipes grâce à leur autonomisation et leur implication
- Une flexibilité renforcée pour s’adapter aux changements de demande
- Une meilleure satisfaction client par la création de valeur ciblée
- Une culture d’amélioration continue qui pérennise les résultats
Les inconvénients du Lean
- Une résistance culturelle forte au changement, surtout dans les organisations traditionnelles
- Un besoin d’engagement managérial total sur le long terme
- Un risque de focalisation excessive sur la réduction des coûts au détriment de l’innovation
- Une difficulté à déployer à grande échelle sans formation adéquate
- Un temps d’adaptation important avant de voir les premiers résultats
- Une pression potentielle sur les équipes si mal appliqué (recherche d’efficacité à outrance)
Quand utiliser le Lean ?
Le Lean est particulièrement adapté dans les situations suivantes :
- Vous gérez des processus répétitifs où l’efficacité est cruciale
- Votre organisation opère avec des marges faibles et doit réduire ses coûts
- Vous travaillez dans la production industrielle, la logistique ou la santé
- Vous dirigez une PME en restructuration qui cherche à optimiser ses opérations
- Vous identifiez des gaspillages importants dans vos processus actuels
- Votre secteur nécessite une amélioration continue de la qualité
- Vous souhaitez impliquer vos équipes dans la résolution des problèmes opérationnels
Le Lean est moins pertinent pour les activités hautement créatives ou innovantes où l’exploration et l’expérimentation sont essentielles, ou dans les environnements où la standardisation est difficile. Dans ces cas, des approches plus flexibles comme Scrum seront préférables.
La méthode Scrum
Scrum est la méthode agile la plus utilisée dans le monde. Créée au début des années 1990 par Ken Schwaber et Jeff Sutherland, elle a été initialement conçue pour le développement logiciel avant de s’étendre à de nombreux autres domaines.
Scrum structure le travail en cycles courts appelés « sprints » (généralement 2 à 4 semaines). À la fin de chaque sprint, l’équipe livre un incrément fonctionnel du produit que le client peut tester et valider.
Les étapes de Scrum
Chaque sprint suit le même cycle structuré :
1. Sprint Planning (Planification du sprint)
En début de sprint, l’équipe se réunit pour définir l’objectif du sprint et sélectionner les éléments du Product Backlog qu’elle s’engage à réaliser. Cette réunion dure généralement 4 heures pour un sprint de 2 semaines.
L’équipe répond à deux questions :
- Que pouvons-nous livrer à la fin de ce sprint ?
- Comment allons-nous réaliser ce travail ?
2. Daily Scrum (Mêlée quotidienne)
Chaque jour, l’équipe se synchronise lors d’une réunion de 15 minutes maximum. Chaque membre partage brièvement :
- Ce qu’il a accompli hier
- Ce qu’il prévoit de faire aujourd’hui
- Les obstacles rencontrés
Cette réunion permet d’identifier rapidement les blocages et d’ajuster le plan si nécessaire.
3. Développement
L’équipe travaille sur les éléments du Sprint Backlog de manière collaborative. Le Scrum Master facilite le processus et aide à lever les obstacles, tandis que le Product Owner reste disponible pour clarifier les besoins.
4. Sprint Review (Revue de sprint)
À la fin du sprint, l’équipe présente l’incrément fonctionnel aux parties prenantes lors d’une démonstration. Le Product Owner valide si les éléments sont conformes aux attentes. Les retours recueillis permettent d’ajuster le Product Backlog pour les prochains sprints.
Cette réunion dure environ 2 heures pour un sprint de 2 semaines.
5. Sprint Retrospective (Rétrospective)
Juste après la Sprint Review, l’équipe se réunit pour analyser son fonctionnement. Elle identifie ce qui a bien marché, ce qui peut être amélioré, et définit des actions concrètes pour le prochain sprint.
Cette réunion se concentre sur le processus et l’équipe, pas sur le produit. Elle dure environ 1h30 pour un sprint de 2 semaines.
Les avantages de Scrum
- Une flexibilité importante pour s’adapter aux évolutions de besoins
- Des livraisons fréquentes de fonctionnalités testables et utilisables
- Une forte collaboration qui renforce la cohésion et la motivation d’équipe
- Une visibilité claire sur l’avancement grâce aux cérémonies régulières et aux outils comme les burndown charts
- Une réduction des risques grâce aux validations fréquentes
- Une détection rapide des problèmes lors des Daily Scrums
- Une amélioration continue du processus via les rétrospectives
Les inconvénients de Scrum
- Un besoin de maturité et de discipline de l’équipe pour respecter le cadre
- Une charge de réunions qui peut créer de la lassitude si mal gérée
- Une difficulté pour les organisations hiérarchiques à accepter l’autonomie des équipes
- Un risque de burnout avec des sprints trop intenses et successifs
- Une complexité pour déployer Scrum à grande échelle sans frameworks adaptés (comme SAFe ou LeSS)
- Une nécessité d’avoir un Product Owner disponible et compétent
- Une inadéquation pour les projets avec des deadlines fixes et un périmètre figé
Quand utiliser Scrum ?
Scrum est particulièrement adapté dans les situations suivantes :
- Vous développez des logiciels, applications ou produits digitaux
- Votre projet évolue dans un environnement incertain où les besoins peuvent changer
- Vous travaillez sur des projets innovants nécessitant des ajustements réguliers
- Votre équipe est petite (3 à 9 personnes), autonome et motivée
- Le client peut s’impliquer régulièrement pour donner son feedback
- Vous souhaitez livrer de la valeur rapidement et itérativement
- Vous privilégiez la collaboration et l’amélioration continue
Scrum est moins pertinent pour les projets avec un périmètre fixe et des exigences stables, les environnements très réglementés nécessitant une documentation exhaustive, ou les équipes distribuées géographiquement sans bonne communication. Dans ces cas, d’autres méthodes offriront un meilleur cadre.
La méthode Agile SAFe
SAFe a été créé dans les années 2010 par Dean Leffingwell pour répondre à un défi majeur : comment appliquer les méthodes agiles dans les grandes organisations avec des dizaines, voire des centaines d’équipes ?
Là où Scrum ou Kanban fonctionnent bien pour une équipe isolée, SAFe permet de coordonner plusieurs équipes travaillant sur un même produit ou programme. Le framework structure l’organisation en différents niveaux et synchronise le travail via des cycles réguliers.
Le concept central de SAFe est l’Agile Release Train. Un ART regroupe entre 50 et 125 personnes organisées en plusieurs équipes agiles (généralement 5 à 12 équipes) qui travaillent sur un objectif commun.
Toutes les équipes d’un ART suivent le même rythme : elles démarrent et terminent leurs sprints en même temps, et livrent ensemble des incréments de valeur tous les 8 à 12 semaines lors d’un « Program Increment » (PI).
Les étapes de SAFe ?
SAFe structure le travail en trois niveaux interconnectés :
Niveau équipe
Chaque équipe fonctionne en mode agile (généralement Scrum ou Kanban) :
- Elle travaille en sprints de 2 semaines
- Elle affine son backlog régulièrement
- Elle organise des daily stand-ups, sprint reviews et rétrospectives
- Elle livre des incréments fonctionnels à chaque sprint
Niveau programme (ART)
Tous les 8 à 12 semaines, l’ensemble de l’ART (50 à 125 personnes) se réunit pendant 2 jours pour planifier le prochain Program Increment. Les équipes identifient leurs objectifs, leurs dépendances mutuelles, et s’engagent collectivement sur ce qu’elles vont livrer.
Exécution
Pendant le PI, les équipes exécutent leurs sprints tout en restant synchronisées. Elles participent à des cérémonies communes comme le Scrum of Scrums pour gérer les dépendances.
System Demos
Toutes les 2 semaines, l’ART présente l’intégration de tout ce qui a été développé par l’ensemble des équipes. Cela valide que les équipes avancent de manière cohérente.
Inspect & Adapt
À la fin du PI, l’ART organise un atelier d’amélioration continue pour analyser ce qui a fonctionné et ce qui doit être amélioré pour le prochain PI.
Niveau portfolio
Le niveau portfolio assure l’alignement stratégique :
- Il définit la vision et la stratégie globale
- Il gère le portefeuille de produits et d’initiatives avec une approche Lean
- Il alloue les budgets et les ressources selon les priorités stratégiques
- Il suit la création de valeur via des OKRs et des métriques
Les rôles clés de SAFe
SAFe introduit des rôles spécifiques pour coordonner à grande échelle :
- Le Release Train Engineer (RTE) : facilite le fonctionnement de l’ART, comme un Scrum Master au niveau programme
- Le Product Manager : définit la vision et les priorités du programme
- Le System Architect : assure la cohérence technique globale
- Le Business Owner : représente les intérêts métier et valide les livrables
Les avantages de SAFe
- Un alignement stratégique fort entre la direction et les équipes d’exécution
- Une livraison rapide et régulière de valeur à grande échelle
- Une réduction des silos grâce à la coordination via les ART
- Une visibilité accrue sur l’avancement global via les System Demos
- Une mesure objective des progrès avec des métriques communes
- Une prévisibilité améliorée grâce à la cadence régulière des PI
- Un framework éprouvé et documenté facilitant l’adoption
Les inconvénients de SAFe
- Une complexité bureaucratique qui peut sembler excessive pour les petites structures
- Un risque de perdre l’esprit agile au profit de processus lourds
- Une résistance culturelle forte dans les organisations traditionnelles
- Un coût élevé de déploiement (formation, coaching, outils)
- Un risque de « fausse agilité » si le framework est appliqué mécaniquement sans en comprendre les principes
- Une difficulté à maintenir la motivation des équipes face aux nombreuses cérémonies
- Un besoin de soutien fort du management pour réussir la transformation
Quand utiliser SAFe ?
SAFe est recommandé dans les situations suivantes :
- Votre organisation compte plus de 50 personnes travaillant sur des projets interconnectés
- Vous coordonnez plusieurs équipes agiles qui doivent livrer ensemble
- Vous travaillez dans des secteurs comme l’IT d’entreprise, le développement hardware, les services financiers ou les télécoms
- Vous avez besoin d’un alignement fort entre la stratégie d’entreprise et l’exécution
- Votre organisation est prête à investir dans une transformation agile structurée
- Vous gérez des programmes complexes avec de nombreuses dépendances
- La livraison à grande échelle et la prévisibilité sont essentielles pour votre activité
SAFe est inadapté pour les petites organisations (moins de 50 personnes), les startups qui ont besoin de flexibilité maximale, ou les équipes autonomes sans dépendances fortes. Dans ces cas, Scrum, Kanban ou d’autres méthodes agiles plus légères seront plus appropriées. SAFe n’est pertinent que lorsque la complexité organisationnelle le justifie vraiment.

Auteur – Simon Cavé
Simon Cavé est le fondateur d’Everlaab. Depuis 2017, il aide les chefs d’entreprise débordés à structurer leur organisation pour sortir du chaos opérationnel.
À ce jour, il a accompagné des centaines de dirigeants dans la mise en place de systèmes pour libérer du temps. Ses contenus sont consultés chaque mois par des dizaines de milliers de dirigeants.
Auteur de plus de 450 articles, il a également conçu le plus grand catalogue de formations francophones consacré à l’organisation et à la gestion du temps.